Remarque :
Cette fonction n’est pas encore prise en charge dans Map Viewer Classic (anciennement Map Viewer). Elle sera disponible dans une version future de la nouvelle version deMap Viewer Map Viewer.
L’outil Synthétiser les attributs permet de synthétiser des valeurs de champs identiques pour générer une table de synthèse. La couche résultante affiche le nombre d’entités synthétisées, ainsi que les statistiques supplémentaires spécifiées.
Diagramme de workflow

Analyse avec les GeoAnalytics Tools
Vous pouvez exécuter des analyses avec GeoAnalytics Tools via un traitement distribué sur plusieurs cœurs et machines ArcGIS GeoAnalytics Server. GeoAnalytics Tools et les outils d’analyse d’entités standard de ArcGIS Enterprise proposent différents paramètres et fonctionnalités. Pour en savoir plus sur ces différences, reportez-vous à la rubrique Différences entre les outils d’analyse d’entités.
Exemple
Les ouragans et les tornades sont les types de tempêtes les plus violents qui se produisent aux Etats-Unis. Vous souhaitez quantifier les dommages matériels et les pertes financières provoqués par les tornades et les ouragans pour comparer leur impact. Vous pouvez utiliser des données sur les tornades et les ouragans aux Etats-Unis disponibles dans un jeu de données unique pour afficher une synthèse des valeurs pour tous les ouragans et une autre synthèse pour toutes les tornades. Vous pouvez synthétiser vos données en fonction du type de tempête pour obtenir les statistiques correspondant à chaque type.
Remarques sur l'utilisation
L’outil Synthétiser les attributs est un outil d’analyse tabulaire, et non un outil spatial.
Les agrégations les plus élémentaires calculent le nombre total d’entités synthétisées. Les statistiques (total, somme, minimum, maximum, plage, moyenne, écart type et variance) peuvent également être calculées sur des champs numériques et les statistiques (total, tout) peuvent être calculées sur des champs de type chaîne. Les statistiques sont calculées séparément sur chaque groupe.
Vous pouvez spécifier un ou plusieurs champs pour effectuer la synthèse ou synthétiser toutes les entités. Dans le premier cas de figure, les statistiques sont calculées pour chaque combinaison unique de valeurs attributaires.
L’outil Synthétiser les attributs vous permet également d’effectuer des analyses à l’aide d’intervalles temporels. Chaque intervalle temporel est analysé indépendamment des entités en dehors de l’intervalle temporel. Pour que vous puissiez utiliser la discrétisation temporelle, vos données en entrée doivent être temporelles et représenter un instant dans le temps. Lorsque la discrétisation temporelle est appliquée, les entités en sortie sont des intervalles temporels représentés par les champs START_DATETIME et END_DATETIME.
En savoir plus sur les intervalles temporels
La référence spatiale de traitement et la référence spatiale de vos données en entrée n’influencent pas les résultats.
Si l'option Use current map extent (Utiliser l'étendue courante de la carte) est sélectionnée, seules les entités qui sont visibles au sein de l'étendue courante de la carte seront analysées. Si l’option n’est pas sélectionnée, toutes les entités en entrée qui se trouvent dans la couche en entrée sont analysées, même si elles se trouvent en dehors de l’étendue actuelle de la carte.
Limitations
En entrée, vous pouvez utiliser une couche tabulaire ou une couche comportant une géométrie (points, lignes ou surfaces).
Vous pouvez appliquer cet outil à des données spatiales pour obtenir un résultat tabulaire. Vous pouvez joindre vos résultats à des données spatiales à l’aide de l’outil Entités jointes.
Fonctionnement de l’outil Summarize Attributes (Synthétiser les attributs)
Vous trouverez ci-dessous une description du fonctionnement de l’outil.
Equations
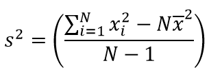
La variance est calculée à l’aide de l’équation suivante :

L'écart type se calcule en tant que racine carrée de la variance.
Calculs
Les couches en entrée sont synthétisées en groupes avec des valeurs de champs appariées. Puisque les résultats sont tabulaires, vous ne pouvez pas les afficher sur votre carte.
Les tableaux ci-dessous présentent les calculs statistiques d’une couche synthétisée à l’aide de valeurs de champ identiques. Le champ VO2 a permis de calculer les statistiques numériques (Count (Total), Sum (Somme), Minimum, Maximum, Range (Plage), Mean (Moyenne), Standard Deviation (Écart type) et Variance) pour la couche. Le champ Rating a permis de calculer les statistiques de chaîne (Count (Total) et Any (Tout)) pour la couche.

Le tableau ci-dessus a été synthétisé en fonction du champ Designation et le champ VO2 a permis de calculer les statistiques numériques (Count (Total), Sum (Somme), Minimum, Maximum, Range (Plage), Mean (Moyenne), Standard Deviation (Écart type) et Variance) pour la couche. Le champ Rating a permis de calculer les statistiques de chaîne (Count (Total) et Any (Tout)) pour la couche. Il en résulte un tableau comportant deux entités représentant les valeurs distinctes de Designation.

Le tableau suivant représente les premiers champs lorsque la couche est synthétisée à l’aide des champs Designation et Age Group. Les statistiques sont calculées à l’aide des mêmes méthodes que celles utilisées dans l’exemple précédent.

La statistique de total (pour les chaînes et les champs numériques) comptabilise le nombre de valeurs non nulles. Le total des valeurs suivantes est égal à 5 : [0, 1, 10, 5, null, 6] = 5. Le total de ce jeu de valeurs est égal à 3 : [Primary, Primary, Secondary, null] = 3.
Exemple de ArcGIS API for Python
L’outil Synthétiser les attributs est disponible dans ArcGIS API for Python.
Cet exemple synthétise les types similaires de tempêtes pour trouver la valeur des dommages matériels.
# Import the required ArcGIS API for Python modules
import arcgis
from arcgis.gis import GIS
from arcgis.geoanalytics import summarize_data
# Connect to your ArcGIS Enterprise portal and confirm that GeoAnalytics is supported
portal = GIS("https://myportal.domain.com/portal", "gis_publisher", "my_password")
if not portal.geoanalytics.is_supported():
print("Quitting, GeoAnalytics is not supported")
exit(1)
# Find the big data file share dataset you'll use for analysis
search_result = portal.content.search("", "Big Data File Share")
# Look through the search results for a big data file share with the matching name
bdfs_search = next(x for x in search_result if x.title == "bigDataFileShares_NaturalDisaters")
# Look through the big data file share for Storms
storms = next(x for x in bdfs_search.layers if x.properties.name == "StormData")
# Set the tool environments
arcgis.env.verbose = True
arcgis.env.defaultAggregations = True
summaryStatistics = [{"statisticType" : "Sum", "onStatisticField" : "PropertyDamage"}]
summarized_result = summarize_data.summarize_attributes(input_layer = storms,
fields = "Storm_type",
summary_fields = summaryStatistics,
output_name = "summarized_storms")
# Visualize the tool results if you are running Python in a Jupyter Notebook
processed_map = portal.map('USA')
processed_map.add_layer(summarized_result)
processed_map
Outils semblables
Utilisez l’outil Synthétiser les attributs pour synthétiser des entités aux valeurs identiques. D'autres outils peuvent vous aider à résoudre des problèmes légèrement différents.
Outils d'analyse Map Viewer Classic
Pour synthétiser des points, des lignes ou des surfaces à l’aide de différentes relations spatiales, utilisez l’outil Entités jointes.
Outils d'analyse ArcGIS Pro
L’outil Synthétiser les attributs est disponible dans ArcGIS Pro.
L’outil Synthétiser les attributs permet d’exécuter les opérations de l’outil Résumés statistiques.
Vous avez un commentaire à formuler concernant cette rubrique ?