Remarque :
Cette fonction n’est pas encore prise en charge dans Map Viewer Classic (anciennement Map Viewer). Elle sera disponible dans une version future de la nouvelle version deMap Viewer Map Viewer.
L’outil Synthétiser - À l’intérieur permet de calculer des statistiques là où se superposent une couche en entrée et une couche de contours. La zone au sein de laquelle vous appliquez l’outil Synthétiser - À l’intérieur peut être une couche surfacique ou un groupe hexagonal ou carré.
Diagramme de workflow

Analyse avec les GeoAnalytics Tools
Vous pouvez exécuter des analyses avec GeoAnalytics Tools via un traitement distribué sur plusieurs cœurs et machines ArcGIS GeoAnalytics Server. GeoAnalytics Tools et les outils d’analyse d’entités standard de ArcGIS Enterprise proposent différents paramètres et fonctionnalités. Pour en savoir plus sur ces différences, reportez-vous à la rubrique Différences entre les outils d’analyse d’entités.
Exemples
Afin de mener à bien et de manière efficace les projets de maintenance de routine, la ville utilise l’outil Synthétiser - À l’intérieur pour comptabiliser les réverbères et pour totaliser les miles de pistes cyclables au sein de chaque district d’évaluation de maintenance. Elle peut ensuite estimer le matériel et l’équipe nécessaires pour effectuer le travail dans chaque district.
Un câblo-opérateur lance un programme pilote permettant à des étudiants à faibles revenus de bénéficier d’un accès à Internet à faible coût. L'outil Synthétiser - A l'intérieur peut servir à déterminer le nombre de familles à faibles revenus dans chaque district universitaire afin que le câblo-opérateur puisse choisir un district pertinent pour son programme pilote.
Un promoteur immobilier cherche à créer des complexes à usage mixte dans un centre urbain du comté. Au sein de chaque ville, le carré qui renferme les sites de développement potentiels avec un accès satisfaisant aux magasins, aux restaurants et au métro peut être calculé à l'aide de l'outil Synthétiser - A l'intérieur. Ceci simplifie le processus de sélection des sites.
Remarques sur l'utilisation
Les entrées de l’outil Synthétiser - À l’intérieur comprennent deux couches. La première couche (zone de synthèse) est utilisée comme limite pour synthétiser votre seconde couche. Elle peut se composer d’une couche surfacique ou de groupes carrés ou hexagonaux. La seconde couche spécifiée (couche synthétisée) est une couche de points, linéaire ou surfacique à synthétiser.
Pour en savoir plus sur les types de données pris en charge pour GeoAnalytics Tools
Conseil :
Selon la configuration de votre organisation, vous pouvez accéder aux couches d’analyse Esri ArcGIS Living Atlas, comme les comtés et les groupes hexadécimaux, ou aux couches d’analyse personnalisées. Cliquez sur la flèche de la liste déroulante et sélectionnez le paramètre Choisissez une couche de surfaces pour synthétiser d'autres entités au sein de ses limites pour choisir une couche d'analyse qui servira de limite.
Une case Nombre de points, Longueur totale ou Surface totale apparaît selon le type d'entités que vous synthétisez dans votre couche. Ces cases sont sélectionnées par défaut. Vous ne pouvez les désélectionner que si le calcul des statistiques est en cours. La mesure de distance par défaut dépend des unités de votre profil.
| Total | Entités en entrée | Par défaut | Options |
|---|---|---|---|
Nombre de points | Points | Aucun | Aucun |
Longueur totale | Lignes | Miles (Miles) (paramètre standard pour les E.U.) ou Kilometers (Kilomètres) (paramètre métrique) |
|
Surface totale | Zones | Square Miles (Miles carrés) (paramètre standard pour les E.U.) ou Square Kilometers (Kilomètres carrés) (paramètre métrique) |
|
Vous pouvez également calculer des statistiques standard. Les statistiques sont calculées en supposant que le champ en entrée contient des quantités de type taux. Par exemple, dans les calculs, la valeur 30 est considérée comme un pourcentage et non une somme. Pour les lignes et les surfaces, toutes les statistiques pondérées sont calculées. Les statistiques des champs de synthèse standard et les statistiques des champs de synthèse pondérés s'appliquent aux données des entités dans la couche synthétisée qui intersectent la couche Zone de synthèse. Les statistiques des champs de synthèse pondérés sont multipliées par une pondération en fonction de la proportion de la zone de synthèse qui intersecte chaque entité dans la couche synthétisée.
Pour les statistiques standard, huit options sont proposées : total, somme, moyenne, valeur minimale, valeur maximale, plage, écart type et variance. Il existe deux options pour les statistiques de chaîne : total et tout. Huit statistiques pondérées sont calculées dans les champs numériques de la couche à synthétiser : total, somme, moyenne, minimum, maximum, plage, écart type et variance. Les statistiques pondérées ne sont pas calculées pour les données de type chaîne.
Lorsque vous spécifiez une valeur Field (Champ) et une valeur Statistic (Statistique) , une nouvelle ligne est ajoutée à la fenêtre de l’outil pour calculer plusieurs statistiques. Vous pouvez consulter les résultats synthétisés dans la table ou les fenêtres contextuelles de la couche de résultat. Par défaut, le total d’entités à l’intersection du champ Summary Area (Zone de synthèse) est toujours calculé.
Vous pouvez également sélectionner un champ Group By (Regrouper par) si vous souhaitez calculer les statistiques séparément pour chaque valeur attributaire unique. Si un champ Group By (Regrouper par) est sélectionné, un tableau récapitulatif présentant chaque entité et statistique par valeur de champ Group By (Regrouper par) est également créé.
Les cases Add minority, majority (Ajouter une minorité, majorité) et Add percentages (Ajouter des pourcentages) sont activées lorsque vous spécifiez un champ Group By (Regrouper par). La minorité et la majorité correspondent, respectivement, à la valeur la moins dominante et à la valeur la plus dominante du champ Group By (Regrouper par), la dominance étant déterminée à partir du nombre de points, de la longueur totale ou de la surface totale de chaque valeur.
Lorsque vous cochez la case Ajouter la minorité et la majorité, deux nouveaux champs sont ajoutés à la couche de résultats. Les champs affichent les valeurs du champ Group By (Regrouper par) qui sont la minorité et la majorité de chaque entité de résultat.
Lorsque l'option Add percentages (Ajouter des pourcentages à) est sélectionnée, deux nouveaux champs sont ajoutés à la couche de résultats : ils affichent le pourcentage du nombre de points, la longueur totale ou la surface totale appartenant aux valeurs minoritaires et majoritaires de chaque entité. Un champ de pourcentage est également ajouté à la table de résultats : il affiche le pourcentage du nombre de points, la longueur totale ou la surface totale appartenant à toutes les valeurs du champ Group By (Regrouper par) pour chaque entité.
Il est important de tenir compte de la statistique que vous calculez et de ce que les données représentent lorsque vous choisissez entre statistiques standard et pondérées. Par exemple, vous pouvez utiliser des statistiques pondérées pour les totaux et les montants, et des statistiques standard pour les taux et les index.
Si l’option Use current map extent (Utiliser l’étendue actuelle de la carte) est sélectionnée, seules les entités de la couche en entrée et de la couche à synthétiser qui sont visibles au sein de l’étendue courante de la carte seront analysées. Si l'option n'est pas sélectionnée, toutes les entités qui se trouvent à la fois dans la couche en entrée et dans la couche à synthétiser seront analysées, même si elles se trouvent en dehors de l'étendue courante de la carte.
Une analyse GeoAnalytics Tools exploitant le regroupement (hexagone ou carré) avec un système de coordonnées géographiques donné utilise automatiquement un système de coordonnées projetées en fonction de l’étendue des données. Pour en savoir plus sur la configuration de votre système de coordonnées pour l’analyse, reportez-vous à la rubrique Utiliser les environnements d’analyse de GeoAnalytics Tools dans Map Viewer .
Les statistiques sont calculées avec des distances géodésiques.
Limitation
Seules les zones de synthèse qui intersectent au moins une entité dans la couche qui est synthétisée seront intégrées aux résultats.
Fonctionnement de l’outil Synthétiser - A l’intérieur
Le fonctionnement de l’outil est décrit ci-dessous.
Equations
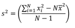
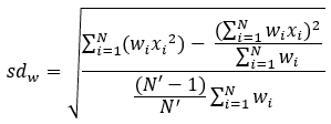
Pour les entités linéaires et surfaciques synthétisées, les statistiques pondérées incorporent les pondérations de la zone de synthèse. Les statistiques des entités ponctuelles ne sont pas pondérées. Le tableau suivant affiche les équations utilisées pour calculer la variance, la moyenne pondérée et l’écart type pondéré.
| Statistique | Equation | Variables | Caractéristiques |
|---|---|---|---|
Variance | ![]() | ![]() | Points |
Moyenne pondérée | ![]() |
Les pondérations se calculent sous forme de pourcentage de l’entité au sein de la zone de synthèse. | Lignes et surfaces |
Ecart type pondéré | ![]() |
Les pondérations se calculent sous forme de pourcentage de l’entité au sein de la zone de synthèse. | Lignes et surfaces |
Points
Les couches de points sont synthétisées uniquement à l'aide d'entités ponctuelles qui se trouvent dans la zone de synthèse. Les statistiques pondérées ne peuvent pas s'appliquer lors de la synthétisation des points.
La figure et la table ci-dessous expliquent les calculs statistiques d'une couche synthétisée de points dans des zones hypothétiques. Le champ Population a permis de calculer les statistiques (Count (Total), Sum (Somme), Minimum, Maximum, Range (Plage), Mean (Moyenne), Standard Deviation (Écart type) et Variance) pour la couche.

| Statistique numérique | Résultats pour le secteur A |
|---|---|
Effectif | Total de : |
Somme | |
Minimal | Minimum de : |
Maximum | Maximum de : |
Plage | |
Moyenne | |
Variance | ![]() |
Écart type | ![]() |
| Statistique de chaîne | Résultats pour le secteur A |
|---|---|
Effectif | |
Tout | = Ecole secondaire |
Remarque :
La statistique de total (pour les chaînes et les champs numériques) comptabilise le nombre de valeurs non nulles. Par exemple, le total de [0, 1, 10, 5, null, 6] est 5. Le total de [Primary, Primary, Secondary, null] est 3.
Cette analyse peut être utilisée concrètement pour déterminer le nombre total d'étudiants dans chaque secteur scolaire. Chaque point représente une école. Le champ Type indique le type d'école (élémentaire, primaire ou secondaire) et le champ indiquant la population étudiante correspond au nombre d'étudiants inscrits dans chaque école. Les calculs et les résultats sont indiqués pour le secteur A dans la table ci-dessus. Les résultats indiquent que le secteur A compte 2 568 étudiants. Lorsque vous exécutez l'outil Synthétiser - A l'intérieur, les résultats concernant le secteur B sont également indiqués.
Lignes
Pour les statistiques pondérées, les couches linéaires sont synthétisées uniquement à l’aide des proportions des entités linéaires comprises dans la zone de synthèse. Les statistiques standard (non pondérées) synthétisent toutes les lignes intersectant la zone de synthèse. Lors de la synthétisation des lignes avec des statistiques pondérées, utilisez des totaux et des montants (et non des taux ou des indices) afin que les calculs proportionnels aient une signification logique dans votre analyse.
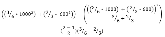
La figure et le tableau ci-dessous décrivent les calculs statistiques d’une couche synthétisée linéaire dans une zone de synthèse hypothétique. Le champ Volume a permis de calculer les statistiques (Count (Total), Sum (Somme), Minimum, Maximum, Range (Plage), Mean (Moyenne), Standard Deviation (Écart type) et Variance) pour la couche. Les statistiques standard sont calculées à l’aide des lignes qui se situent à l’intersection de la limite et les statistiques pondérées sont calculées à l’aide de la proportion des lignes comprises dans le champ Summary Area (Zone de synthèse).

| Statistiques numériques | Statistiques standard | Statistiques pondérées |
|---|---|---|
Calcul des pondérations | Sans objet | Pondération de la ligne marron (valeur = 600) : Pondération de la ligne bleue (valeur = 1000) : |
Effectif | Total de : | Total de : |
Somme | | |
Minimal | Minimum de : | Minimum de : |
Maximum | Maximum de : | Maximum de : |
Plage | | |
Moyenne | | |
Variance | ![]() | ![]() |
Écart type | ![]() | ![]() |
Cette analyse peut être utilisée concrètement pour déterminer le volume total d'eau des rivières comprises dans les limites d'un parc national. Chaque ligne représente une rivière qui coule partiellement dans le parc. Les résultats montrent que les rivières coulent sur huit kilomètres (5 miles) dans le parc et que le volume total est de 900 unités.
Zones
Les couches de surfaces sont synthétisées uniquement à l’aide des proportions des entités surfaciques comprises dans la limite en entrée. Lorsque vous synthétisez des surfaces, utilisez des champs contenant des nombres absolus pour que les calculs proportionnels soient logiques dans votre analyse. La couche de résultats s'affiche en dégradé de couleurs.
Les statistiques pondérées pour les couches surfaciques synthétisées reposent sur les proportions des entités de la zone de synthèse qui se trouvent dans la couche synthétisée. Lors de la synthétisation des zones, utilisez des totaux et des montants (et non des taux ou des indices) afin que les calculs proportionnels aient une signification logique dans votre analyse.
La figure et le tableau ci-dessous expliquent les calculs statistiques d’une couche surfacique dans une zone de synthèse hypothétique. Le champ de population a permis de calculer les statistiques (Total,Somme, Minimum, Maximum, Plage, Moyenne, Ecart type et Variance) de la couche. Les statistiques standard sont calculées à l’aide de zones qui se situent à l’intersection du champ Summary Area (Zone de synthèse) et les statistiques pondérées sont calculées à l’aide d’une pondération proportionnelle en fonction de la portion des zones de synthèse contenues dans chaque champ Summarized Layer (Couche synthétisée).

| Statistiques numériques | Statistiques standard : résultats Voisinage 1 | Statistiques pondérées : résultats Voisinage 1 |
|---|---|---|
Calcul des pondérations | Pondération de la zone jaune (valeur = 3200) : Pondération de la zone verte (valeur = 4700) : Pondération de la zone rose (valeur = 1000) : Pondération de la zone bleue (valeur = 4500) : Pondération de la zone orange (valeur = 3600) : | |
Effectif | Total de : | Total de : |
Somme | | |
Minimal | Minimum de : | Minimum de : |
Maximum | Maximum de : | Maximum de : |
Plage | | |
Moyenne | | |
Variance | ![]() | ![]() |
Écart type | ![]() | ![]() |
Exemple de ArcGIS API for Python
L’outil Synthétiser - À l’intérieur est disponible dans ArcGIS API for Python.
Cet exemple calcule la distance et la pente moyenne des pistes cyclables dans chaque quartier de la ville.
# Import the required ArcGIS API for Python modules
import arcgis
from arcgis.gis import GIS
from arcgis.geoanalytics import summarize_data
# Connect to your ArcGIS Enterprise portal and confirm that GeoAnalytics is supported
portal = GIS("https://myportal.domain.com/portal", "gis_publisher", "my_password")
if not portal.geoanalytics.is_supported():
print("Quitting, GeoAnalytics is not supported")
exit(1)
# Find the big data file share dataset you'll use for analysis
search_result = portal.content.search("", "Big Data File Share")
# Look through the search results for a big data file share with the matching name
bdfs_search = next(x for x in search_result if x.title == "bigDataFileShares_CityData")
# Look through the big data file share for BikeLanes
bike_lanes = next(x for x in bdfs_search.layers if x.properties.name == "BikeLanes")
# Look through the big data file share for districts
districts = next(x for x in bdfs_search.layers if x.properties.name == "districts")
weighted_summary_fields = [{"statisticType" : "Average","onStatisticField" : "Slope"}]
# Run the Summarize Within tool
summarize_within_result = summarize_data.summarize_within(summary_polygons = districts,
summarized_layer = bike_lanes,
weighted_summary_fields = weighted_summary_fields,
output_name = "summary_of_bike_lanes")
# Visualize the tool results if you are running Python in a Jupyter Notebook
processed_map = portal.map('Your City, State', 10)
processed_map.add_layer(summarize_within_result)
processed_map
Outils semblables
Utilisez l'outil Synthétiser - A l'intérieur pour calculer les statistiques des entités superposées à une couche de contours. D'autres outils peuvent vous aider à résoudre des problèmes légèrement différents.
Outils d'analyse Map Viewer Classic
Si vous essayez de synthétiser des points et souhaitez appliquer des intervalles temporels, utilisez l’outil Agréger des points.
Outils d'analyse ArcGIS Pro
Cet GeoAnalytics Tools est disponible dans ArcGIS Pro.
L’outil Summarize Within (Synthétiser - A l'intérieur) permet d'exécuter les opérations des outils Spatial Join (Jointure spatiale) et Summary Statistics (Résumés statistiques).
Vous avez un commentaire à formuler concernant cette rubrique ?















