Remarque :
Cette fonction n’est pas encore prise en charge dans Map Viewer Classic (anciennement Map Viewer). Elle sera disponible dans une prochaine version de Map Viewer.
L'outil Summarize Within (Synthétiser - A l'intérieur) permet de calculer des statistiques là où se superposent une couche en entrée et une couche de contours.
Diagramme de workflow

Exemples
Une ville qui accumule les dossiers de maintenance en retard veut impliquer les districts d’évaluation de maintenance dans des projets relatifs à la maintenance des réverbères et des pistes cyclables. L'outil Synthétiser - A l'intérieur permet de comptabiliser les réverbères et les kilomètres de pistes cyclables dans chaque district en vue de hiérarchiser efficacement les projets.
Un câblo-opérateur lance un programme pilote permettant à des étudiants à faibles revenus de bénéficier d’un accès à Internet peu coûteux. L’outil Synthétiser - À l’intérieur sert à déterminer le nombre de familles à faibles revenus dans chaque district universitaire afin que le câblo-opérateur puisse choisir un district pertinent pour son programme pilote.
Une société de développement envisage de créer un complexe immobilier à usage mixte dans un centre urbain. La société peut utiliser l’outil Synthétiser - À l’intérieur afin de synthétiser les zones appropriées au sein des limites de la ville pour trouver la surface totale des zones d’aménagement potentiel.
Remarques sur l'utilisation
L'outil Synthétiser - A l'intérieur vous permet d'entrer une couche de surfaces servant de limite pour synthétiser les entités, ainsi qu'une couche de points, de lignes ou de surfaces à synthétiser.
Vous pouvez fournir la couche surfacique à utiliser pour l’analyse ou générer des groupes d’une taille et d’une forme (hexagonale ou carrée) spécifiques, dans lesquels réaliser l’agrégation. La taille des groupes détermine leur ampleur. Si vous optez pour l'agrégation dans des hexagones, la taille correspond à la hauteur de chaque hexagone et la largeur de l'hexagone obtenu est de deux fois la hauteur divisée par la racine carrée de 3. Si vous optez pour l'agrégation dans des carrés, la taille des groupes correspond à la hauteur du carré, qui est égale à la largeur.

Conseil :
Vous pouvez ajouter une couche qui ne figure pas dans Map Viewer Classic à la fenêtre des outils en sélectionnant Choose Analysis Layer (Choisir une couche d’analyse) dans le menu déroulant.
Une case Count of Points (Nombre de points), Length of Lines (Longueur des lignes) ou Sum Area (Surface totale) apparaît selon le type d’entités que vous synthétisez dans votre couche. Cette case est sélectionnée par défaut. Vous ne pouvez la désélectionner que si le calcul des statistiques est en cours. La mesure de distance par défaut dépend des unités de votre profil.
| Calcul | Entités en entrée | Par défaut | Options |
|---|---|---|---|
Nombre de points | Points | Aucun | Aucun |
Longueur des lignes | Lignes | Miles (Miles) (paramètre standard pour les E.U.) ou Kilometers (Kilomètres) (paramètre métrique) |
|
Surface totale | Zones | Square Miles (Miles carrés) (paramètre standard pour les E.U.) ou Square Kilometers (Kilomètres carrés) (paramètre métrique) |
|
Les statistiques que vous pouvez calculer dans les champs numériques de la couche à synthétiser sont les suivantes : somme, minimum, maximum, moyenne et écart type. Lorsque vous spécifiez une valeur Field (Champ) et Statistic (Statistique), une nouvelle ligne est ajoutée au volet de l’outil pour calculer plusieurs statistiques à la fois. Vous pouvez consulter les données synthétisées dans la table ou les fenêtres contextuelles de la couche de résultat.
Vous pouvez également sélectionner un champ de regroupement si vous souhaitez calculer les statistiques séparément pour chaque valeur attributaire unique. Lorsqu’un champ de regroupement est sélectionné, la fenêtre contextuelle de chacune des entités de la couche en sortie présente des diagrammes affichant un récapitulatif de chaque total et statistique par valeur de champ. Une table de synthèse présentant chaque entité et statistique par valeur de champ de regroupement est également créée.
Les cases Add minority, majority (Ajouter une minorité, majorité) et Add percentages (Ajouter des pourcentages) sont activées lorsque vous spécifiez un champ de regroupement. La minorité et la majorité correspondent, respectivement, à la valeur la moins dominante et à la valeur la plus dominante du champ de regroupement, la dominance étant déterminée à partir du nombre de points, de la longueur totale ou de la surface totale de chaque valeur. Lorsque la case Add minority, majority (Ajouter une minorité, majorité) est cochée, deux nouveaux champs sont ajoutés à la couche de résultat. Ces champs affichent les valeurs du champ de regroupement qui sont la minorité et la majorité de chaque entité de résultat. Lorsque la case Add percentages (Ajouter des pourcentages) est cochée, un nouveau champ est ajouté à la table de résultat : il affiche pour chaque entité le pourcentage du nombre de points, de la longueur totale ou de la surface totale appartenant à chaque valeur du champ de regroupement. Lorsque la case Add minority, majority (Ajouter une minorité, majorité) est cochée, deux champs supplémentaires sont ajoutés à la couche de résultat : ils affichent le pourcentage du nombre de points, de la longueur totale ou de la surface totale appartenant aux valeurs minoritaires et majoritaires de chaque entité.
Si l’option Use current map extent (Utiliser l’étendue actuelle de la carte) est sélectionnée, seules les entités de la couche en entrée et de la couche à synthétiser qui sont visibles au sein de l’étendue courante de la carte seront analysées. Si l'option n'est pas sélectionnée, toutes les entités qui se trouvent à la fois dans la couche en entrée et dans la couche à synthétiser seront analysées, même si elles se trouvent en dehors de l'étendue courante de la carte.
Limitations
- Les limites en entrée doivent être des entités surfaciques.
- Les lignes et les surfaces sont synthétisées à l’aide de proportions. Il est préférable de synthétiser des données absolues (comme la population) plutôt que des données relatives (comme le revenu moyen).
- Il n’est pas possible de supprimer les limites qui ne sont pas superposées à des points, des lignes ou des surfaces.
Fonctionnement de l'outil Synthétiser - A l'intérieur
Les sections ci-dessous décrivent les fonctionnalités de l’outil Synthétiser - À l’intérieur.
Génération de groupes
Il est possible de générer des groupes carrés et hexagonaux pour des zones d’agrégation, plutôt que de synthétiser des entités en une couche de zones en entrée. Les groupes sont générés dans un système de coordonnées projetées personnalisé conservant la zone à l’aide des dimensions de taille spécifiées, ce qui permet de garantir que les tailles sont équivalentes et appropriées pour la zone d’intérêt. Le choix de la projection équivalente appropriée et des paramètres s’effectue en fonction de l’étendue géographique des couches en entrée. Une fois les groupes créés, ils sont reprojetés dans le système de coordonnées des données en entrée avant d’être utilisés dans l’analyse.
Une fois l’analyse terminée, le résultat est projeté dans Web Mercator pour être affiché (par défaut) ou dans la projection de votre fond de carte personnalisé. La projection de vos résultats dans Web Mercator peut sembler déformée, en particulier dans le cas de groupes volumineux ou situés près des zones polaires. Ces distorsions sont présentes sur l’affichage uniquement et ne reflètent pas une analyse inexacte.
Equations
Les valeurs Moyenne et Ecart type sont calculées à l'aide de la moyenne pondérée et de l'écart type pondéré des entités linéaires et surfaciques. Les statistiques des entités ponctuelles ne sont pas pondérées. Le tableau suivant affiche les équations utilisées pour calculer l’écart type, la moyenne pondérée et l’écart type pondéré :
| Statistique | Equation | Variables | Entités |
|---|---|---|---|
Écart type | ![]() | où :
| Points |
Moyenne pondérée | ![]() | où :
| Lignes et surfaces |
Ecart type pondéré | ![]() | où :
| Lignes et surfaces |
Remarque :
Les valeurs nulles sont exclues de tous les calculs statistiques. Par exemple, la moyenne de 10, 5 et d’une valeur nulle est 7,5 ((10 + 5) / 2).
Points
Les couches de points sont synthétisées uniquement à l'aide d'entités ponctuelles de la limite en entrée. Le nombre de points compris dans chaque limite en entrée est inclus dans les résultats uniquement si la case Count of Points (Nombre de points) est cochée. Les résultats s’affichent à l’aide de symboles gradués.
La figure et la table ci-dessous illustrent les calculs statistiques d’une couche de points dans une limite hypothétique. Le champ Population a permis de calculer les statistiques (Sum [Somme], Minimum, Maximum, Average [Moyenne] et Std Deviation [Écart type]) de la couche.

| Statistique | Résultats pour le secteur A |
|---|---|
Somme | |
Minimal | Minimum de : |
Maximum | Maximum de : |
Moyenne | |
Écart type | ![]() |
Cette analyse peut être utilisée concrètement pour déterminer le nombre total d’étudiants dans chaque secteur scolaire. Chaque point représente une école. Le champ Type indique le type d’école (élémentaire, primaire ou secondaire) et un champ relatif à la population étudiante indique le nombre d’étudiants inscrits dans chaque école. Les calculs et les résultats sont fournis pour le secteur A dans la table ci-dessus. Les résultats indiquent que le secteur A compte 2 568 étudiants. Lorsque vous exécutez l’outil Synthétiser - À l’intérieur, les résultats concernant le secteur B sont également fournis.
Lignes
Les couches de lignes sont synthétisées uniquement à l'aide des proportions des entités linéaires comprises dans la limite en entrée. Lors de la synthétisation des lignes, utilisez des champs avec des totaux et des montants (et non des taux ou des ratios) afin que les calculs proportionnels aient une signification logique dans votre analyse. Les résultats, qui incluent le nombre de lignes comprises dans chaque limite en entrée, sont présentés à l’aide de symboles gradués.
La figure et la table ci-dessous illustrent les calculs statistiques d’une couche de lignes dans une limite hypothétique. Le champ Volume a permis de calculer les statistiques (Sum (Somme), Minimum (Minimum), Maximum (Maximum), Average (Moyenne) et Std Deviation (Écart type)) de la couche. Les statistiques sont calculées à l'aide de la proportion des lignes comprises dans la limite.

| Statistique | Résultat |
|---|---|
Somme | |
Minimal | Minimum de : |
Maximum | Maximum de : |
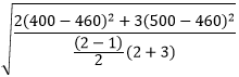
Moyenne | ![]() |
Écart type | ![]() |
Cette analyse peut être utilisée concrètement pour déterminer le volume total d’eau des rivières comprises dans les limites d’un parc national. Chaque ligne représente une rivière qui coule partiellement dans le parc. Les résultats montrent que les rivières coulent sur huit kilomètres (5 miles) dans le parc et que le volume total est de 900 unités.
Zones
Les couches de surfaces sont synthétisées uniquement à l'aide des proportions des entités surfaciques comprises dans la limite en entrée. Lors de la synthétisation des surfaces, utilisez des champs avec des totaux et des montants (et non des taux ou des ratios) afin que les calculs proportionnels aient une signification logique dans votre analyse. Les résultats, qui incluent le nombre de surfaces comprises dans chaque limite en entrée, sont présentés à l’aide de dégradés de couleurs.
La figure et la table ci-dessous illustrent les calculs statistiques d’une couche de surfaces dans une limite hypothétique. Les populations ont permis de calculer les statistiques (Somme, Minimum, Maximum, Moyenne et Ecart type) pour la couche. Les statistiques sont calculées à l'aide de la proportion de la surface comprise dans la limite.

| Statistique | Résultat |
|---|---|
Somme | |
Minimal | Minimum de : |
Maximum | Maximum de : |
Moyenne | ![]() |
Écart type | ![]() |
Cette analyse peut être utilisée concrètement pour déterminer la population d’un voisinage urbain. Le contour bleu représente la limite du voisinage et les zones plus petites représentent des îlots de recensement. Les résultats montrent que le voisinage regroupe 10 841 personnes et que chaque îlot de recensement compte environ 2 666 personnes en moyenne.
Outils semblables
Utilisez l'outil Synthétiser - A l'intérieur pour calculer les statistiques des entités superposées à une couche de contours. D'autres outils peuvent vous aider à résoudre des problèmes légèrement différents.
Outils d'analyse Map Viewer Classic
Si vous synthétisez des points en ne conservant que les limites dont le total est supérieur à zéro, utilisez l’outil Aggregate Points (Agréger des points).
Pour synthétiser des entités situées à une certaine distance de vos entités en entrée, utilisez l’outil Summarize Nearby (Synthétiser - À proximité).
Outils d'analyse ArcGIS Pro
L'outil Summarize Within (Synthétiser - A l'intérieur ) permet d'exécuter les opérations des outils de géotraitement Spatial Join (Jointure spatiale) et Summary Statistics (Résumés statistiques).
L'outil Summarize Within (Synthétiser - A proximité) est également disponible dans ArcGIS Pro. Pour pouvoir exécuter l’outil à partir de ArcGIS Pro, le portail actif de votre projet doit exécuter ArcGIS Enterprise 10.5 ou une version ultérieure. Vous devez également vous connecter au portail via un compte détenteur des privilèges permettant d’effectuer une analyse d’entités standard sur le portail.
Vous avez un commentaire à formuler concernant cette rubrique ?







